Challenge Roth 2025

Análisis de Drafting - Sistema RaceRanger

Fecha del evento: 13 de Julio, 2025 | Análisis: 18 de Octubre, 2025

Resumen

Total Atletas

82
51 hombres | 19 mujeres | 12 DNF

Carreras Limpias

19.5%
16 atletas con 0:00 ilegal

Tiempo Ilegal Promedio

2:51
Hombres: 3:48 | Mujeres: 1:02

Máximo Registrado

22:25
Timo Schaffeld (#48)
✅ Hallazgo Principal: Los ganadores de ambas categorías (Sam Laidlow y Laura Philipp) corrieron con 0:00 de tiempo ilegal, demostrando que es posible ganar sin aprovechar el drafting.

👥 Comparación por Género

Métrica Hombres Mujeres Diferencia
Tiempo Ilegal Promedio 3:48 1:02 73% menos
Tiempo Ilegal Mediano 1:59 0:05 96% menos
% Carreras Limpias 9.8% (5 de 51) 42.1% (8 de 19) 4.3x más
Yo-Yos Promedio 32.5 10.7 67% menos
Adelantamientos Promedio 22.2 10.7 Más agresivos
Máximo Tiempo Ilegal 22:25 9:19 -
📈 Conclusión: Las mujeres profesionales demostraron un comportamiento significativamente más limpio, con 4 veces más atletas sin infracciones y 73% menos tiempo ilegal en promedio. Esto sugiere mayor respeto a las reglas y/o diferentes dinámicas de carrera.

🥇 Podio Masculino

1
Sam Laidlow
✓ 0:00 Ilegal
0 Yo-Yos
4 Adelantamientos
2
Jonas Schomburg
✓ 0:00 Ilegal
0 Yo-Yos
0 Adelantamientos
3
Jan Stratmann
⚠ 0:04 Ilegal
3 Yo-Yos
24 Adelantamientos

🥇 Podio Femenino

1
Laura Philipp
✓ 0:00 Ilegal
0 Yo-Yos
12 Adelantamientos
2
Grace Thek
⚠ 0:14 Ilegal
4 Yo-Yos
17 Adelantamientos
3
Alanis Siffert
⚠ 0:05 Ilegal
1 Yo-Yo
8 Adelantamientos

⚠️ Top 10 Infractores

Atletas con mayor tiempo de drafting ilegal:

  1. Timo Schaffeld (#48, Pos. 27) 22:25 ilegal 126 Yo-Yos
    Siguió principalmente a: Chris Dels
  2. Stephan Benedikt (#53, Pos. 39) 19:17 ilegal 251 Yo-Yos 🔴
    Siguió principalmente a: Kevin Portmann
  3. Tristan Olij (#36, Pos. 12) 13:58 ilegal 60 Yo-Yos
    Siguió principalmente a: Jesse Hinrichs
  4. Nicolas Quenette (#49, Pos. 37) 13:25 ilegal 110 Yo-Yos
    Siguió principalmente a: Matthieu Bolzer
  5. Kevin Portmann (#58, Pos. 38) 12:19 ilegal 111 Yo-Yos
    Siguió principalmente a: Christoffer Heick
  6. Henri Schoeman (#7, Pos. 44) 11:03 ilegal 69 Yo-Yos
    Siguió principalmente a: Willy Hirsch
  7. Vincent Luis (#5, Pos. 4) 9:35 ilegal 40 Yo-Yos
    Siguió principalmente a: Henri Schoeman
  8. Justine Mathieux (#108, Pos. 5 Mujeres) 9:19 ilegal 84 Yo-Yos
    Siguió principalmente a: Nikki Bartlett
  9. Matthieu Bolzer (#52, Pos. 13) 8:41 ilegal 67 Yo-Yos
    Siguió principalmente a: Nicolas Quenette
  10. Niels Vanhove (#43, Pos. 46) 7:26 ilegal 33 Yo-Yos
    Siguió principalmente a: Nicholas Chase
🔴 Caso Extremo: Stephan Benedikt registró 251 Yo-Yos (entrar y salir de zona de drafting), muy por encima del segundo lugar (126). Esto indica un comportamiento extremadamente errático o estrategia deliberada de aprovechamiento.

📈 Análisis Visual

Distribución del Tiempo Ilegal

Distribución de Tiempo Ilegal

Histograma mostrando la distribución del tiempo de drafting ilegal. Nótese cómo las mujeres se concentran cerca de cero mientras los hombres tienen mayor dispersión.

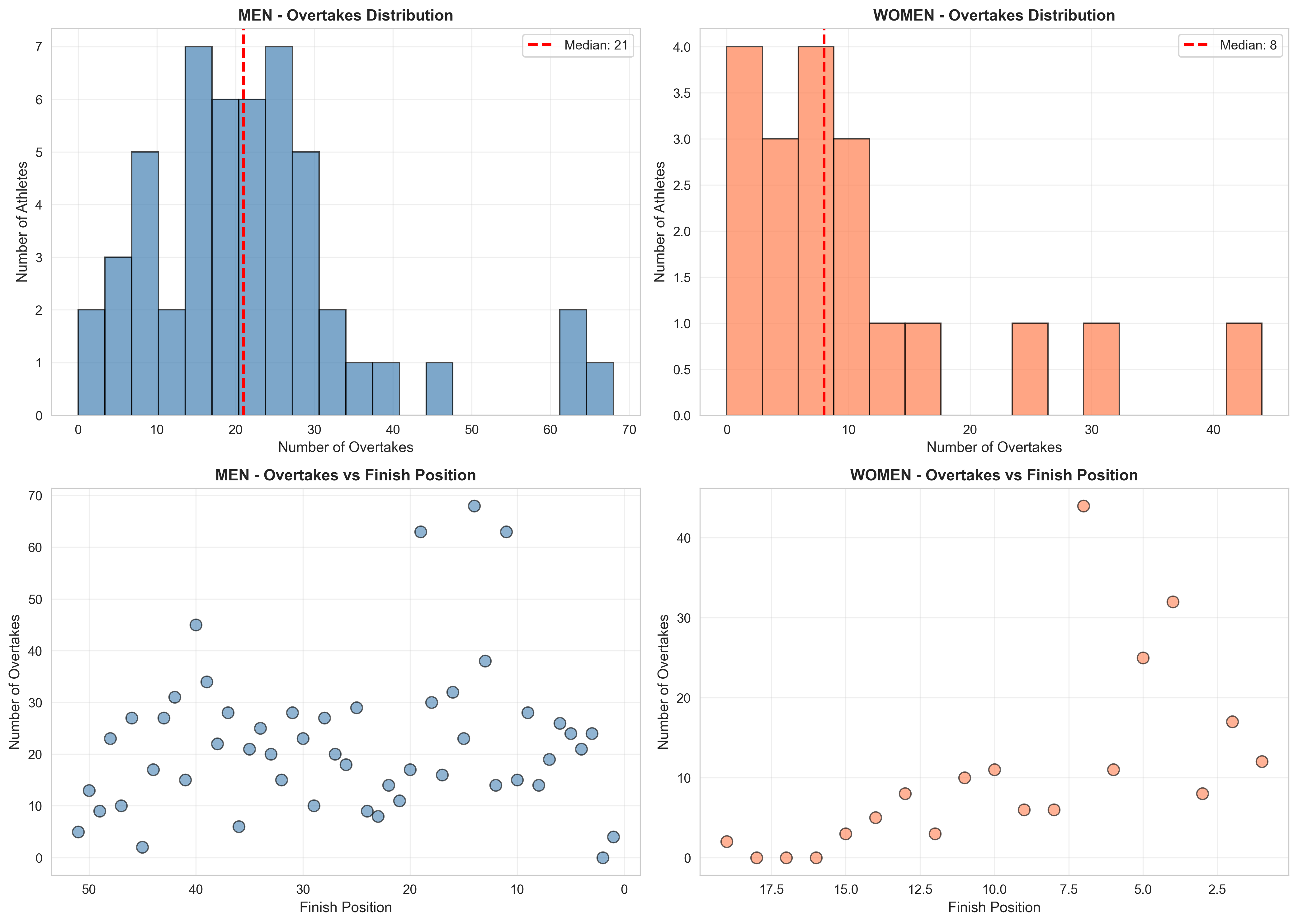
Relación entre Posición Final y Drafting

Posición vs Drafting

Correlación positiva (+0.191): los atletas que terminaron en mejores posiciones generalmente tuvieron menos tiempo ilegal. Los mejores corren más limpio.

📊 Correlación Performance-Drafting:
  • Top 10: Promedio 1:48 ilegal (25% limpios)
  • Posiciones 11-20: Promedio 2:31 ilegal (26% limpios)
  • Posiciones 20+: Promedio 4:11 ilegal (10% limpios)

Análisis de Yo-Yos

Distribución de Yo-Yos

Los Yo-Yos (entrar/salir de zona sin adelantar) son la principal fuente de tiempo ilegal. Los hombres promedian 32.5 vs 10.7 en mujeres.

Comparación: Limpios vs Con Infracciones

Limpios vs Drafters

Proporción de atletas con carrera limpia (0:00) vs con tiempo ilegal. La diferencia de género es dramática: 42% vs 10%.

Estadísticas de Adelantamientos

Análisis de Adelantamientos

Los adelantamientos legales NO correlacionan con peor rendimiento. Joe Skipper realizó 68 adelantamientos con solo 1:18 ilegal, demostrando que se puede adelantar agresivamente pero limpio.

🎯 "Ruedas Populares"

Atletas que fueron más seguidos por otros competidores:

# Atleta Seguido por Tiempo Promedio
1 Justine Mathieux (Mujer) 4 atletas 0:31 por atleta
2 Jan Stratmann 3 atletas 0:30 por atleta
3 Bart Aernouts 3 atletas 0:40 por atleta
4 Jesse Hinrichs 3 atletas 2:15 por atleta
5 Matthieu Bolzer 3 atletas 3:27 por atleta
🔄 Dato Interesante: Justine Mathieux (5ª en mujeres) fue la "rueda" más popular de toda la carrera, siendo seguida por 4 atletas: 1 hombre (Jordan Bryden) y 3 mujeres (Grace Thek, Nikki Bartlett y Nina Derron). Sin embargo, ella misma acumuló 9:19 de tiempo ilegal.

🚀 Adelantamientos Destacados

Hombres - Top 3 Adelantadores

Mujeres - Top 3 Adelantadoras

✅ Ejemplo a Seguir: Joe Skipper y Bart Aernouts demuestran que se puede adelantar agresivamente (60+ adelantamientos) manteniendo tiempos ilegales mínimos. La clave está en ejecutar los adelantamientos dentro del límite de 25 segundos.

💡 Conclusiones y Recomendaciones

Hallazgos Principales

  1. Ganar limpio es posible: Ambos ganadores (Sam Laidlow y Laura Philipp) tuvieron 0:00 de tiempo ilegal.
  2. Las mujeres dan el ejemplo: 42% de carreras limpias vs 10% en hombres.
  3. Velocidad y limpieza van juntas: Correlación positiva entre mejor posición y menos drafting ilegal.
  4. Los Yo-Yos son el problema: La mayoría del tiempo ilegal proviene de entrar/salir de zonas de drafting, no de drafting sostenido.
  5. Adelantar no es trampa: Los adelantamientos legales son válidos y los mejores adelantadores mantienen tiempos ilegales bajos.

Para los Organizadores

Para los Atletas

🎯 Mensaje Final: Los datos de Challenge Roth 2025 confirman la valoración de RaceRanger: "On the whole, these results are considered quite typical when compared with other professional non-drafting races." El triatlón profesional mantiene altos estándares, con los atletas más rápidos demostrando que la carrera limpia es tanto alcanzable como ventajosa.

📋 Contexto de Medición

Sistema RaceRanger - Notas Importantes:

  • Zonas Excluidas: Primeros 500m después T1, últimos 500m antes T2, 5 avituallamientos, 3 subidas principales (Solar Hill, Kränzleinsberg, Kalvarienberg)
  • Regla de Adelantamiento: 25 segundos permitidos para adelantar legalmente. Si se tarda 30s, solo 5s cuentan como ilegales
  • Yo-Yos: Entrar en zona de drafting y retroceder sin completar adelantamiento. TODO el tiempo cuenta como ilegal (sin concesión de 25s)
  • Slot-ins: Meterse en huecos entre ciclistas donde no cabe legalmente